ニッセイ ギアモータ・減速機 総合カタログ

GTRギアモータ・減速機 総合カタログ(デジタルカタログ版)です。


>> P.393

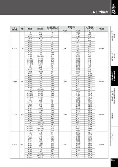
3-1.性能表インダクションギアモータオプション技術資料F2/F3タイプ同心中空軸・同心中実軸F/FAタイプ中空軸・中実軸H/H2タイプ直交軸G/G3タイプ平行軸4Pモータ相当容量枠番減速比実減速比0.4kW350.75kW451.5kW552.2kW551/51/7.51/101/12.51/151/201/251/301/401/501/601/801/1001/120※1/160※1/200※1/240※1/160※1/200※1/2401/51/7.51/101/12.51/151/201/251/301/401/501/601/801/1001/1201/51/7.51/101/12.51/151/201/251/301/401/501/601/801/1001/120※1/160※1/200※1/2401/51/7.51/101/12.51/151/201/251/301/401/501/601/80※1/100※1/12019/18801/151/201/251/301/401/501/601/801/1201/1601/2001/2401/52/151/104/491/1519/2351/52/151/101/151/201/251/301/401/501/601/8019/18801/1201/1601/2001/2401/52/151/1019/23514/27511/2802/591/401/491/607/55011/11201/1187/110011/22401/2361/52/151/104/491/1514/27511/2802/591/401/491/607/55011/11201/118出力軸許容トルク入力(1500r/min)N・m111723273344556788111133169211253270270270213141526383104124166208249316395473554554554416383104124166208249332416498631789947103010301030619112215218224430536648760973192610301030許容O.H.L.N入力軸294392392392寸法図P.396P.396P.397P.397出力軸許容スラスト荷重N49056961864768674579482487387387387388388391291291273583491298010301079117711771177117711771177117711771275127512751177132414221520156915691569156915691569156916181618186320592256245211771324142215201569156915691569156915691569161816181863出力軸19602250245026002740299031903280348034803480348035303530363036303630294033303630392040704460470047504750475047504750475047505190519051904700534057806130632063206320632063206320632064206420750083309020980047005340578061306320632063206320632063206320642064207500393


<< | < | > | >>