ニッセイ ギアモータ・減速機 総合カタログ

GTRギアモータ・減速機 総合カタログ(デジタルカタログ版)です。


>> P.401

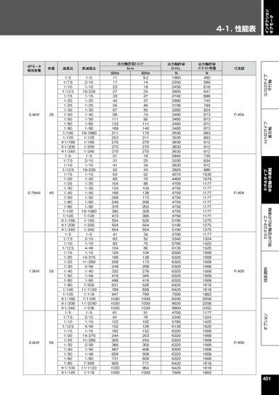
4-1.性能表インダクションギアモータオプション技術資料F2/F3タイプ同心中空軸・同心中実軸F/FAタイプ中空軸・中実軸H/H2タイプ直交軸G/G3タイプ平行軸4Pモータ相当容量枠番減速比実減速比出力軸許容トルクN・m1/51/7.51/101/12.51/151/201/251/301/401/501/601/801/1001/120※1/160※1/200※1/240※1/160※1/200※1/2401/51/7.51/101/12.51/151/201/251/301/401/501/601/801/1001/1201/51/7.51/101/12.51/151/201/251/301/401/501/601/801/1001/120※1/160※1/200※1/2401/51/7.51/101/12.51/151/201/251/301/401/501/601/800.4kW350.75kW451.5kW552.2kW5519/2351/52/151/101/151/201/251/301/401/501/601/8019/18801/1201/1601/2001/2401/52/151/1019/23519/18801/151/201/251/301/401/501/601/801/1201/1601/2001/2401/52/151/104/491/1514/27511/2802/591/401/491/607/55011/11201/1187/110011/22401/2361/52/151/104/491/1514/27511/2802/591/401/491/607/55050Hz11172327334455678811113316921125327027027021314152638310412416620824931639547355455455441638310412416620824933241649863178994710301030103061911221521822443053664876097319261030103060Hz9.2141924273746557492111140175211270270270182534435270861041381732082633283955265545543452708610413817320827634541652665878910301030103051761021261522032543054065086097719641030寸法図P.404P.404P.405P.405出力軸許容O.H.L.出力軸許容スラスト荷重N19602250245026002740299031903280348034803480348035303530363036303630294033303630392040704460470047504750475047504750475047505190519051904700534057806130632063206320632063206320632064206420750083309020980047005340578061306320632063206320632063206320642064207500N49056961864768674579482487387387387388388391291291273583491298010301079117711771177117711771177117711771275127512751177132414221520156915691569156915691569156916181618186320592256245211771324142215201569156915691569156915691569161816181863401※1/100※1/12011/11201/118


<< | < | > | >>