ニッセイ ギアモータ・減速機 総合カタログ

GTRギアモータ・減速機 総合カタログ(デジタルカタログ版)です。


>> P.499

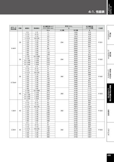
インダクションギアモータ4-1.性能表オプション技術資料F2/F3タイプ同心中空軸・同心中実軸F/FAタイプ中空軸・中実軸H/H2タイプ直交軸G/G3タイプ平行軸4Pモータ相当容量枠番減速比実減速比0.4kW0.75kW303535451.5kW452.2kW451/51/7.51/101/12.51/151/201/251/301/401/501/601/801/1001/120※1/160※1/200※1/2401/51/7.51/101/12.51/151/201/251/301/401/501/601/801/1001/120※1/160※1/200※1/2401/51/7.51/101/12.51/151/201/251/301/401/501/601/51/7.51/101/12.51/151/201/251/301/52/151/1019/2351/151/201/251/301/401/501/601/8019/18801/1201/1601/2001/2401/52/151/1019/2351/151/201/251/301/401/501/601/8019/18801/1201/1601/2001/2401/52/151/1019/2351/151/201/251/301/401/501/601/52/151/1019/2351/151/201/251/30出力軸許容トルク入力(1500r/min)N・m1117232733445567881111331692112532702702702131415263831041241662082493163954735545545544163831041241662082493324164986191122152182244305366許容O.H.L.N入力軸294294392392392392出力軸15201760191020602160240025502650284029903090348035303530363036303630196022502450260027402990319032803480348034804750475047505190519051902940333036303920407044604700475047504750475031403530392041204410475047504750出力軸許容スラスト荷重寸法図N3754384755065396006376627117477678738838839129129125005676136696867477968218708708701177117711771275127512758009009671040106710671067106710671067106780090096710401067106710671067P.501P.502P.502P.503P.503P.503499


<< | < | > | >>